工作频率: Hz, 希望的电抗值: Ohms (eg: approx. 8 Ohms for first order crossover, 11.3 Ohms for second order crossover)
需要的电感量 L = mH, 需要的电容量C = μF
工作频率: Hz, 电感量: mH
电抗值计算结果:X L = Ohms
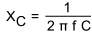
工作频率: Hz, 电容量: μF
电抗值计算结果:X C = Ohms
Copyright ? 2005-2024 華北計算機系統(tǒng)工程研究所版權(quán)所有 京ICP備10017138號-2